یادگیری مفاهیم ریاضی در پایه هشتم نیازمند تمرین و تکرار است تا دانشآموزان بتوانند ارتباط بین مفاهیم نظری و کاربردی را بهتر درک کنند. در این مسیر، فعالیتها و حل تمرینهای کتاب نقش مهمی در تقویت پایههای محاسباتی و منطقی دانشآموز دارند. صفحه 9 کتاب ریاضی هشتم شامل فعالیتها و تمرینهایی است که به موضوعاتی مانند کسرهای مساوی، سادهسازی عبارات و ارتباط اعداد گویا با سایر اعداد میپردازد. در این مقاله از سلام دنیا به بررسی و پاسخ دهی مرحله به مرحله پرسشها و حل تمرین صفحه 9 ریاضی هشتم پرداختهایم.
جواب فعالیت صفحه 9 ریاضی پایه هشتم با توضیح
سوال 1 فعالیت صفحه 9 ریاضی پایه هشتم با توضیح
1. چگونه میتوانیم به کمک بردارهایی که در شکل نمایش داده شدهاند، درستی تساویها را نتیجه بگیریم؟ توضیح دهید.

/////////////////////////////////////////////////
حتما بخوانید: حل تمرین صفحه 10 ریاضی هشتم
سوال 2 فعالیت صفحه 9 ریاضی پایه هشتم با توضیح
2. مانند نمونه، کسر مساوی هر کسر را بنویسید.

/////////////////////////////////////////////////
حل تمرین صفحه 9 ریاضی هشتم با جواب
حتما بخوانید: حل تمرین صفحه 11 ریاضی هشتم
سوال 1 صفحه 9 ریاضی پایه هشتم با توضیح
1. آیا میتوان گفت هر عدد صحیح و هر عدد طبیعی نیز عدد گویاست؟ چرا؟
جواب: بله. زیرا هر عدد طبیعی و عدد صحیح را می توان به صورت کسر علامت دار نوشت.
/////////////////////////////////////////////////
سوال 2 صفحه 9 ریاضی پایه هشتم با توضیح
2. هریک از کسرهای سطر اول را به کسر مساویاش در سطر دوم وصل کنید.

/////////////////////////////////////////////////
سوال 3 صفحه 9 ریاضی پایه هشتم با توضیح
3. جدول زیر را مانند نمونه کامل کنید.

/////////////////////////////////////////////////
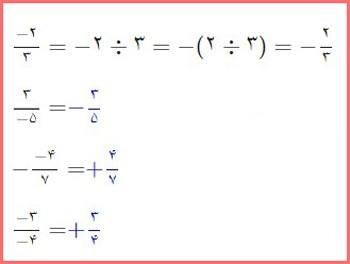
سوال 4 صفحه 9 ریاضی پایه هشتم با توضیح
4. ابتدا علامت هر عبارت را تعیین، و سپس آن را ساده کنید.

پاسخ به روش دیگر :

/////////////////////////////////////////////////
ویدئو آموزش و حل صفحه 9 ریاضی هشتم
ویدئو آموزش و حل صفحه 9 ریاضی هشتم
سخن آخر
تمرینها و فعالیتهای صفحه 9 ریاضی پایه هشتم به دانشآموزان کمک میکند تا درک بهتری از مفهوم کسرهای مساوی، اعداد گویا و سادهسازی عبارات به دست آورند. با حل این پرسشها، مهارت محاسباتی تقویت شده و پایهای محکم برای مباحث بعدی ریاضی فراهم میشود. استمرار در تمرین و توجه به جزئیات باعث میشود یادگیری این مباحث برای دانشآموزان آسانتر و کاربردیتر گردد.
مطالب مرتبط:
ساخت کاردستی با آرمیچر برای مدرسه
42 نقاشی دفاع مقدس و شهیدان کلاس اول تا ششم
8 انشا در مورد گذشت و فداکاری با مقدمه و نتیجه
دیدگاه ها