در ریاضیات پایه هشتم، تمرینهای صفحه 13 بر روی مهارتهای محاسبه و درک روابط بین اعداد کسری و صحیح تمرکز دارند. این تمرینها به دانشآموزان کمک میکند تا توانایی خود در جمع و تبدیل اعداد مخلوط، تحلیل الگوها و یافتن روابط بین اعداد گویا را تقویت کنند. با حل این تمرینها، یادگیرنده نه تنها مهارتهای محاسباتی خود را افزایش میدهد، بلکه توانایی مشاهده و تفسیر الگوهای ریاضی را نیز پرورش میدهد. در این مقاله از سلام دنیا به حل کار در کلاس صفحه 13 ریاضی پایه هشتم با توضیح پرداختهایم.
حل کار در کلاس صفحه 13 ریاضی هشتم با جواب
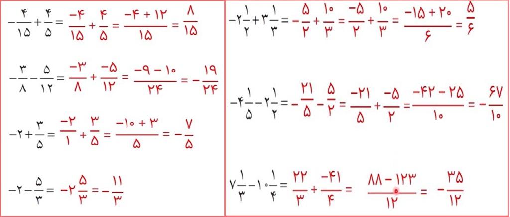
سوال 2 صفحه 13 ریاضی پایه هشتم با توضیح
2- حاصل عبارتهای زیر را به دست آورید و سپس مانند نمونه، هر عدد مخلوط را به صورت دو عدد صحیح و کسری درآورید و با هم جمع کنید.

////////////////////////////////////////////////////////////
حتما بخوانید: حل تمرین صفحه 14 ریاضی هشتم
////////////////////////////////////////////////////////////
حل تمرین صفحه 13 ریاضی پایه هشتم با توضیح
سوال 1 صفحه 13 ریاضی پایه هشتم با توضیح
1- حاصل عبارتها را به دست آورید.

////////////////////////////////////////////////////////////
سوال 2 صفحه 13 ریاضی پایه هشتم با توضیح
2- حاصل عبارتها را به دست آورید.

بین این تساویها چه رابطهای میبینید؟
- جواب: حاصل دو عدد گویا را میتوان همانند دو عدد صحیح بدست آورد.
////////////////////////////////////////////////////////////
حتما بخوانید: حل تمرین صفحه 15 ریاضی هشتم
////////////////////////////////////////////////////////////
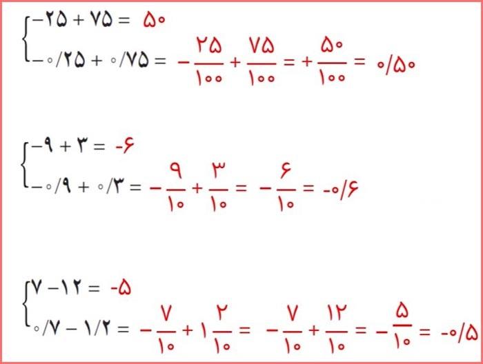
سوال 3 صفحه 13 ریاضی پایه هشتم با توضیح
3- حاصل عبارت های زیر را به دست آورید.

////////////////////////////////////////////////////////////
سوال 4 صفحه 13 ریاضی پایه هشتم با توضیح
4- به کمک الگویابی، جاهای خالی شکل را پر کنید.
- جواب: الگو: حاصل جمع هر دو عدد پایین مساوی است با عدد بالا

////////////////////////////////////////////////////////////
ویدئو آموزش و حل صفحه 13 ریاضی هشتم
ویدئو آموزش و حل صفحه 13 ریاضی هشتم
سخن آخر
تمرینهای صفحه 13 ریاضی هشتم نمونهای کاربردی از ارتباط بین اعداد صحیح و کسری و اهمیت الگویابی در ریاضیات هستند. با تکرار این تمرینها، دانشآموزان میتوانند مهارتهای محاسباتی و تفکر منطقی خود را بهبود بخشند و آماده حل مسائل پیچیدهتر شوند. تسلط بر این مباحث پایه، زمینهای محکم برای یادگیری ریاضیات پیشرفتهتر فراهم میکند.
مطالب مرتبط:
جدول ارزش مکانی ریاضی کلاس اول
32 کاردستی با کاغذ رنگی آسان و زیبا دخترانه و پسرانه برای مدرسه
آموزش پیدا کردن زاویه بین 2 بردار با فرمول ضرب داخلی و خارجی
دیدگاه ها