در فصل عددهای گویا از کتاب ریاضی پایه هشتم، دانش آموزان با نحوهی ضرب عددهای گویا و تشخیص علامت حاصل ضرب آشنا میشوند. در فعالیتهای این صفحه، مفاهیم پایهای مانند تبدیل ضرب عددهای گویا به ضرب عددهای صحیح، تعیین علامت حاصل ضرب، و محاسبهی دقیق کسرها تمرین میشود. هدف این تمرینها آن است که دانش آموز بتواند بدون سردرگمی، بین ضرب عددهای مثبت و منفی ارتباط برقرار کند و به درک عمیق تری از قواعد محاسباتی برسد. در این مقاله از سلام دنیا به حل کامل فعالیت و کار در کلاس صفحه 14 ریاضی پایه هشتم همراه با پاسخهای تشریحی و توضیح گامبهگام پرداخته ایم.
حل فعالیت صفحه 14 ریاضی هشتم با جواب
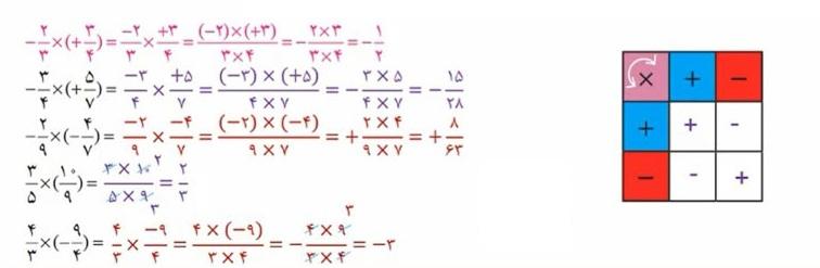
سوال 1 صفحه 14 ریاضی پایه هشتم با توضیح
1. مانند نمونه، ضرب عددهای گویا را به ضرب عددهای صحیح تبدیل کنید
- با توجه به حاصل عبارت ها، جدول را برای ضرب دو عدد گویا کامل کنید.

///////////////////////////////////////////
حتما ببینید: حل تمرین صفحه 15 ریاضی هشتم
///////////////////////////////////////////
سوال 2 صفحه 14 ریاضی پایه هشتم با توضیح
2. با توجه به جدول بالا، ابتدا علامت حاصل ضرب را تعیین کنید؛ سپس، مانند نمونه با ضربِ کسرها حاصل را پیدا کنید.

///////////////////////////////////////////
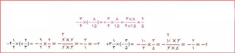
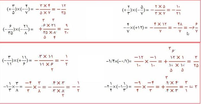
حل کار در کلاس صفحه 14 ریاضی هشتم با جواب
با توجه به نتیجهای که از فعّالیت قبل گرفتهاید، حاصل عبارتهای زیر را به دست آورید.

///////////////////////////////////////////
ویدئو آموزش و حل صفحه 14 ریاضی هشتم
ویدئو آموزش و حل صفحه 14 ریاضی هشتم
سخن آخر
صفحه 14 کتاب ریاضی پایه هشتم به درک عملی قواعد ضرب عددهای گویا اختصاص دارد. با تمرین این صفحه، دانش آموز میآموزد چگونه با توجه به علامت عددها و نحوهی ضرب کسرها، به صورت سریع و دقیق به پاسخ درست برسد. این مهارت، اساس کار در فصل های بعدی مربوط به تقسیم و معکوس عددها خواهد بود.
مطالب مرتبط:
ایده های نقاشی جذاب و خلاقانه برای مبتدیان و حرفه ای ها
17 مدل نقاشی با عدد 4 انگلیسی فانتزی و زیبا
دیدگاه ها