یادگیری جمع و تفریق اعداد گویا یکی از مباحث اساسی در ریاضیات پایه هشتم است که پایه ای قوی برای درک مفاهیم پیچیدهتر فراهم میکند. در این صفحه، دانشآموزان با استفاده از تساویها و روشهای ساده جمع و تفریق اعداد صحیح، مهارت خود را در محاسبه اعداد گویا تقویت میکنند. همچنین، تمرینها به دانشآموزان کمک میکند تا با مخرج مشترک و مقایسه حاصل جمعها آشنا شوند. در این مقاله از سلام دنیا به حل تمرین و فعالیت صفحه 12 ریاضی پایه هشتم پرداختهایم.
حل تمرین فعالیت صفحه 12 ریاضی هشتم با جواب
سوال 1 صفحه 12 ریاضی پایه هشتم با توضیح
1- برای هرکدام از محورها یک تساوی جمع بنویسید.

حاصل عبارت روبه رو را به دست آورید و با حاصل جمع بالا مقایسه کنید. یکسان است.

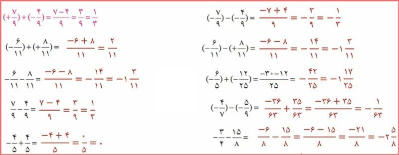
با توجه به تساویهای زیر، توضیح دهید که چگونه میتوانیم حاصل جمع و تفریق دو عدد گویا را با استفاده از جمع و تفریق دو عدد صحیح به دست آوریم.

///////////////////////////////////////////////////////////
حتما بخوانید: حل تمرین صفحه 13 ریاضی هشتم
///////////////////////////////////////////////////////////
سوال 2 صفحه 12 ریاضی پایه هشتم با توضیح
2- مانند نمونه، ابتدا مخرجها را یکی کنید؛ سپس، جمع و تفریقها را انجام دهید.

///////////////////////////////////////////////////////////
حل کار در کلاس صفحه 12 ریاضی پایه هشتم با توضیح
سوال 1 صفحه 12 ریاضی پایه هشتم با توضیح
1- مانند نمونه، حاصل هر یک از عبارتها را به دست آورید.

///////////////////////////////////////////////////////////
ویدئو آموزش و حل صفحه 12 ریاضی هشتم
ویدئو آموزش و حل صفحه 12 ریاضی هشتم
سخن آخر
تمرینهای ارائهشده در این صفحه 12، مهارتهای محاسباتی دانشآموزان را در جمع و تفریق اعداد گویا تقویت میکند و درک روشنی از ارتباط بین اعداد صحیح و گویا ارائه میدهد. انجام مرتب این تمرینها، توانایی حل مسائل پیچیدهتر ریاضی را در مراحل بعدی تحصیلی افزایش میدهد و پایهای محکم برای مباحث آینده فراهم میکند.
مطالب مرتبط:
2 انشا در مورد عشق به خدا و چگونه خدا را بشناسیم
53 مدل کشیدن نقاشی حلزون کودکانه و بزرگسال
36 کاردستی بامزه و خلاقانه با بطری شیشه ای خالی و دور ریختنی
دیدگاه ها