در این بخش از ریاضی هشتم، دانشآموزان با نمایش بردارها بهصورت مختصاتی و عملیات روی آنها مانند جمع و تفریق آشنا میشوند. این روش بهخصوص در حل مسائل حرکت در صفحه و برنامهریزی مسیرها کاربرد دارد. در این مقاله از سلام دنیا به بررسی و حل سوالات کار در کلاس صفحات 80 و 81 ریاضی هشتم پرداختهایم.
حل کار در کلاس صفحه 80 ریاضی هشتم با جواب
اگر a=3i−2j→ و b=2i+j→ باشد، مختصات بردارهای x و y را به دست آورید.

///////////////////////////////////////////////////////////////
حل تمرین صفحه 80 و 81 ریاضی هشتم با جواب
حتما بخوانید: حل تمرین صفحه 82 ریاضی هشتم
سوال 1 صفحه 80 ریاضی پایه هشتم با توضیح
1- طرف دیگر تساوی ها را بنویسید.

///////////////////////////////////////////////////////////////
سوال 2 صفحه 80 ریاضی پایه هشتم با توضیح
2- دو محور عمود برهم رسم کنید و بردارهای واحد مختصات را روی آنها مشخص کنید. آنگاه بردارهای زیر را روی آن دستگاه مختصات رسم کنید و هر بردار را برحسب بردارهای واحد i و j بنویسید.

///////////////////////////////////////////////////////////////
سوال 3 صفحه 80 ریاضی پایه هشتم با توضیح
3- با توجه به شکل زیر، مختصات بردار c را با دو روش زیر پیدا کنید.
- الف) رسم شکل و نوشتن مختصات c→ از روی شکل

- ب) پیدا کردن مختصات a→ و b→ و قرار دادن آنها در تساوی زیر.

ویژگی های هر روش را بیان کنید. کدام روش برای رایانه ای شدن مناسب تر است؟ چرا؟
- روش مختصاتی – چون به صورت عددی و محاسباتی انجام می شود.
///////////////////////////////////////////////////////////////
سوال 4 صفحه 81 ریاضی پایه هشتم با توضیح
حتما بخوانید: حل تمرین صفحه 84 و 85 ریاضی هشتم
4- با توجه به علامت طول و عرض بردار، شکل تقریبی آن را مانند نمونه رسم کنید.

///////////////////////////////////////////////////////////////
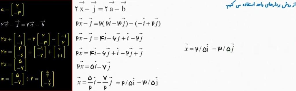
سوال 5 صفحه 81 ریاضی پایه هشتم با توضیح
5- اگر a=2i−3j و b=[−12] باشد، بردار x را از معادله زیر پیدا کنید.

///////////////////////////////////////////////////////////////
سوال 6 صفحه 81 ریاضی پایه هشتم با توضیح
6- یک روباتِ برنامه ریزی شده به صورت زیر از مبدأ مختصات حرکت میکند. با مشاهده سه حرکت اولِ این روبات، الگویی برای حرکت آن کشف کنید و توضیح دهید. روبات پس از حرکت پنجم به کدام نقطه میرسد؟

///////////////////////////////////////////////////////////////
سوال 7 صفحه 81 ریاضی پایه هشتم با توضیح
7- حمیده با خود فکر میکرد که اگر چند بردار با هم جمع شوند، بردار حاصل جمع از همه آنها بزرگتر است. آیا او درست فکر کرده است؟ با کشیدن شکل توضیح دهید.
- خیر

///////////////////////////////////////////////////////////////
سوال 8 صفحه 81 ریاضی پایه هشتم با توضیح
حتما بخوانید: حل تمرین صفحه 86 ریاضی هشتم
8- در صفحه شطرنجی زیر، یک خودرو با نقطه A مشخص شده است. این خودرو مسیری را طی کرده است تا به نقطه B برسد؛ در کل به اندازه چند واحد حرکت کرده است؟
- 28 واحد
خودرو از نقطه A و B در راستای عمودی چند واحد جا به جا شده است؟
- 2 واحد

///////////////////////////////////////////////////////////////
ویدئو آموزش و حل صفحه 80 ریاضی هشتم
ویدئو آموزش و حل صفحه 80 ریاضی هشتم
///////////////////////////////////////////////////////////////
ویدئو آموزش و حل صفحه 81 ریاضی هشتم
ویدئو آموزش و حل صفحه 81 ریاضی هشتم
سخن آخر
هر بردار را میتوان با ترکیب بردارهای واحد ii و j نوشت؛ برای مثال a=3i−2ja = 3i - 2ja=3i−2j نشان میدهد که سه واحد در راستای x و دو واحد در راستای y حرکت کردهایم. با استفاده از این نمایش، میتوان مختصات بردارهای x و y را محاسبه و شکل تقریبی آنها را رسم کرد و حتی مسیرهای حرکت را تحلیل نمود.
مطالب مرتبط:
ایده های نقاشی جذاب و خلاقانه برای مبتدیان و حرفه ای ها
17 مدل نقاشی با عدد 4 انگلیسی فانتزی و زیبا
دیدگاه ها