درس ریاضی پایه هشتم، دانشآموزان را با قوانین توانها و نحوهٔ استفاده از آنها در مسائل روزمره آشنا میکند. در این صفحه، تمرینهایی طراحی شده است تا دانشآموزان با تقسیم اعداد تواندار با پایههای مساوی، محاسبات را ساده کنند و بتوانند دماهای بسیار بزرگ مانند دمای مرکز خورشید را نسبت به دمای جوش آب به صورت تواندار بیان کنند. در این مقاله از سلام دنیا به حل کامل فعالیت صفحه 106 ریاضی پایه هشتم همراه با پاسخ تشریحی و توضیح گامبهگام پرداختهایم.
حل فعالیت صفحه 106 ریاضی هشتم با جواب
حتما بخوانید: حل تمرین صفحه 107 ریاضی هشتم
دمای مرکز خورشید حدود 107 درجه سانتی گراد است. این دما چند برابر دمایی است که آب در آن به جوش میآید؟ پاسخ را ضمن کامل کردن جاهای خالی به صورت یک عدد تواندار بیان کنید و مراحل حل مسئله را نیز توضیح دهید.
- حل: آب در 100 درجه سانتی گراد به جوش می آید و داریم 2^10 = 100

یعنی دمای مرکز خورشید 5^10 برابر دمایی است که آب در آن به جوش میآید. آیا تقسیم بالا را به شکل زیر نیز میتوانیم انجام دهیم؟

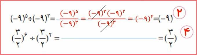
اکنون، حاصل هر یک از تقسیمهای زیر را به صورت یک عدد تواندار بنویسید.

با استفاده از نمونههای داده شده برای محاسبهٔ تقسیم دو عدد تواندار با پایههای مساوی قانونی بنویسید.
- جواب: در تقسیم اعداد توان دار با پایه مساوی: یکی از پایهها را نوشته و توانها را از هم کم میکنیم.
اگر a عددی دلخواه و مخالف صفر و n ،m عددهایی طبیعی باشند:

///////////////////////////////////////////////////////
ویدئو آموزش و حل صفحه 106 ریاضی هشتم
ویدئو آموزش و حل صفحه 106 ریاضی هشتم
سخن آخر
صفحه 106 کتاب ریاضی هشتم، دانشآموزان را با کاربرد عملی قوانین توان و تقسیم اعداد تواندار در مسائل واقعی آشنا میکند. تمرینهای این صفحه، مهارت محاسباتی دانشآموزان را تقویت کرده و توانایی آنها را برای حل مسائل علمی و ریاضی با اعداد بزرگ افزایش میدهد.
مطالب مرتبط:
حل تمرین صفحه 108 و 109 ریاضی هشتم
حل تمرین صفحه 110 و 111 ریاضی هشتم
2 انشا در مورد عشق به خدا و چگونه خدا را بشناسیم
53 مدل کشیدن نقاشی حلزون کودکانه و بزرگسال
36 کاردستی بامزه و خلاقانه با بطری شیشه ای خالی و دور ریختنی
دیدگاه ها