درس ریاضی پایه هشتم، دانشآموزان را با قوانین توانها و کاربرد آنها در محاسبات آشنا میکند. در صفحات 108 و 109، تمرینهایی طراحی شده است تا دانشآموزان بتوانند تقسیم و سادهسازی اعداد تواندار را انجام دهند، تساویها را بررسی کنند، اعداد تواندار را مرتب کنند و بخشهایی از اعداد را به صورت تواندار نمایش دهند. این فعالیتها در تقویت مهارت محاسباتی و درک مفهوم توان بسیار مؤثر است. در این مقاله از سلام دنیا به حل کامل کار در کلاس و تمرین صفحات 108 و 109 ریاضی پایه هشتم همراه با پاسخ تشریحی و توضیح گامبهگام پرداختهایم.
حل کار در کلاس صفحه 108 ریاضی هشتم با جواب
سوال 1 صفحه 108 ریاضی پایه هشتم با توضیح
حتما بخوانید: حل تمرین صفحه 110 و 111 ریاضی هشتم
1. حاصل هر یک از تقسیمهای زیر را به صورت عدد تواندار بنویسید.

/////////////////////////////////////////////////////////////////////////////
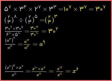
سوال 2 صفحه 108 ریاضی پایه هشتم با توضیح
2. عبارتهای زیر را ساده کنید و در صورت امکان، پاسخ را به صورت عدد تواندار بنویسید.

/////////////////////////////////////////////////////////////////////////////
حل تمرین صفحه 108 و 109 ریاضی هشتم با جواب
سوال 1 صفحه 108 ریاضی پایه هشتم با توضیح
1. هر یک از عددهای زیر را به صورت یک عدد تواندار بنویسید.

/////////////////////////////////////////////////////////////////////////////
سوال 2 صفحه 108 ریاضی پایه هشتم با توضیح
2. کدام عبارتهای زیر درست و کدام نادرستاند؟ توضیح دهید.

/////////////////////////////////////////////////////////////////////////////
سوال 3 صفحه 109 ریاضی پایه هشتم با توضیح
3. حاصل هر عبارت را به صورت عددی تواندار بنویسید.

/////////////////////////////////////////////////////////////////////////////
سوال 4 صفحه 109 ریاضی پایه هشتم با توضیح
حتما بخوانید: حل تمرین صفحه 111 تا 113 ریاضی هشتم
4. در جاهای خالی عدد مناسب بگذارید.

/////////////////////////////////////////////////////////////////////////////
سوال 5 صفحه 109 ریاضی پایه هشتم با توضیح
5. عددهای زیر را از کوچکترین تا بزرگترین و به ترتیب از چپ به راست مرتب کنید.

/////////////////////////////////////////////////////////////////////////////
سوال 6 صفحه 109 ریاضی پایه هشتم با توضیح
6. کدام تساویهای زیر درست و کدام نادرستاند؟

/////////////////////////////////////////////////////////////////////////////
سوال 7 صفحه 109 ریاضی پایه هشتم با توضیح
7. حاصل عبارتهای زیر را به دست آورید.

/////////////////////////////////////////////////////////////////////////////
سوال 8 صفحه 109 ریاضی پایه هشتم با توضیح
8. نصف 9^2 و ربع 7^4را به صورت عددهای تواندار بنویسید.

/////////////////////////////////////////////////////////////////////////////
بخش خواندنی

/////////////////////////////////////////////////////////////////////////////
ویدئو آموزش و حل صفحه 108 ریاضی هشتم
ویدئو آموزش و حل صفحه 108 ریاضی هشتم
/////////////////////////////////////////////////////////////////////////////
ویدئو آموزش و حل صفحه 109 ریاضی هشتم
ویدئو آموزش و حل صفحه 109 ریاضی هشتم
سخن آخر
صفحات 108 و 109 کتاب ریاضی هشتم، دانشآموزان را با کاربرد عملی قوانین توان و روشهای سادهسازی و تقسیم اعداد تواندار آشنا میکند. تمرینهای این صفحات، توانایی دانشآموزان در محاسبات سریع، تحلیل ریاضی و تسلط بر مفاهیم توانها را افزایش داده و ذهن آنها را برای حل مسائل پیچیدهتر در جبر و ریاضیات پایه آماده میکند.
مطالب مرتبط:
18 ایده کشیدن نقاشی خفاش کودکانه، بزرگسال، ساده
27 کاردستی حرف (م) پیش دبستانی و کلاس اول
6 انشا در مورد شانس با مقدمه و نتیجه گیری
دیدگاه ها