درس ریاضی پایه هشتم دانشآموزان را با قوانین توانها و نحوهٔ محاسبات آنها آشنا میکند. در این صفحه، تمرینهایی طراحی شده است تا دانشآموزان بتوانند تقسیم اعداد تواندار با پایههای مساوی را انجام دهند، عبارتها را به صورت تواندار ساده کنند و روابط میان پایه و توانها را تحلیل نمایند. این فعالیتها، مهارت محاسباتی و درک قوانین توان را تقویت میکند. در این مقاله از سلام دنیا به حل کامل کار در کلاس و فعالیتهای صفحه 107 ریاضی پایه هشتم همراه با پاسخ تشریحی و توضیح گامبهگام پرداختهایم.
حل کار در کلاس صفحه 107 ریاضی هشتم با جواب
حتما بخوانید: حل تمرین صفحه 108 و 109 ریاضی هشتم
سوال 1 صفحه 107 ریاضی پایه هشتم با توضیح
1. حاصل هر یک از عبارتهای زیر را به صورت عددی تواندار بنویسید.

/////////////////////////////////////////////////
سوال 2 صفحه 107 ریاضی پایه هشتم با توضیح
2. جاهای خالی را با عدد مناسب پر کنید.

/////////////////////////////////////////////////
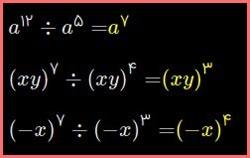
سوال 3 صفحه 107 ریاضی پایه هشتم با توضیح
3. حاصل را به صورت یک عبارت تواندار بنویسید.

/////////////////////////////////////////////////
حل فعالیت صفحه 107 ریاضی هشتم با جواب
مثالهای داده شده را مطالعه کنید و با پرکردن جاهای خالی توضیح دهید که پاسخ هر یک از تقسیمها چگونه به دست آمده است.

با توجه به مثالهای صفحهٔ قبل، توضیح دهید تساوی 5^4= 5^2÷ 5^8 چگونه به دست آمده است. اکنون، برای تقسیم دو عدد تواندار با توانهای مساوی، قانون زیر را کامل کنید.
- در تقسیم اعداددار با توانهای مساوی یکی از توانها را نوشته و پایهها را بر هم تقسیم میکنیم.
حتما بخوانید: حل تمرین صفحه 110 و 111 ریاضی هشتم
به کمک قانونی که نوشتهاید، حاصل تقسیمهای زیر را به صورت عددی تواندار بنویسید.

اکنون قانون فوق را با نمادهای ریاضی هم نشان دهید.
- a و b دو عدد دلخواه و m یک عدد طبیعی و b≠0

/////////////////////////////////////////////////
ویدئو آموزش و حل صفحه 107 ریاضی هشتم
ویدئو آموزش و حل صفحه 107 ریاضی هشتم
سخن آخر
صفحه 107 کتاب ریاضی هشتم، دانشآموزان را با کاربرد عملی قوانین توان و روش سادهسازی تقسیم اعداد تواندار آشنا میکند. تمرینهای این صفحه، توانایی دانشآموزان در محاسبات سریع، تحلیل ریاضی و تسلط بر قوانین پایهای توانها را افزایش میدهد و ذهن آنها را برای حل مسائل پیچیدهتر جبر و توان آماده میکند.
مطالب مرتبط:
حل تمرین صفحه 111 تا 113 ریاضی هشتم
چگونه زاویه مثلث را پیدا کنیم؟
60 نقاشی حاشیه دفتر مشق جدید آسان پاییزی با مداد رنگی دخترانه و پسرانه
دیدگاه ها