در این درس از ریاضی پایه هشتم، دانشآموزان با نوشتن جمله nام الگوهای عددی به صورت عبارت جبری، سادهسازی عبارات جبری و استفاده از شکلها برای درک تساویها آشنا میشوند. تمرینها شامل بررسی اشتباههای رایج و حل نمونههای عملی است. در این مقاله از سلام دنیا به حل تمرین صفحه 55 ریاضی هشتم با پاسخ تشریحی و توضیح مفهومی پرداختهایم.
حل تمرین صفحه 55 ریاضی هشتم با جواب
سوال 1 صفحه 55 ریاضی پایه هشتم با توضیح
1. عبارت جبری جمله nام هریک از الگوهای عددی زیر را بنویسید.

///////////////////////////////////////////////
حتما بخوانید: حل تمرین صفحه 56 ریاضی هشتم
/////////////////////////////////////////////////////////
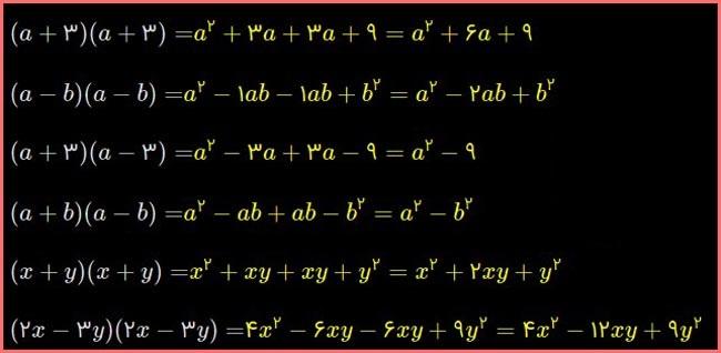
سوال 2 صفحه 55 ریاضی پایه هشتم با توضیح
2. عبارتهای جبری زیر را ساده کنید.
- اگر جملهای ضریب نداشت ضریب آن 1 است.

///////////////////////////////////////////////
سوال 3 صفحه 55 ریاضی پایه هشتم با توضیح
3. مساحت هر شکل را با یک عبارت جبری بیان کنید.

///////////////////////////////////////////////
سوال 4 صفحه 55 ریاضی پایه هشتم با توضیح
4. دانش آموزی، عبارتهای جبری زیر را نادرست ساده کرده است. اشتباه او را پیدا کنید.
الف) a(b+c)=ab+c
- a(b+c)=ab+ac
ب) 2x+3y−(2x−y)=2x+3y−2x−y−2y
- 2x+3y−(2x−y)=2x+3y−2x+y=4y
///////////////////////////////////////////////
حتما بخوانید: حل تمرین صفحه 57 ریاضی هشتم
/////////////////////////////////////////////////////////
سوال 5 صفحه 55 ریاضی پایه هشتم با توضیح
5. با توجه به شکل، یک تساوی جبری بنویسید.
- s=a(b+c+d)=ab+ac+ad

///////////////////////////////////////////////
ویدئو آموزش و حل صفحه 55 ریاضی هشتم
ویدئو آموزش و حل صفحه 55 ریاضی هشتم
سخن آخر
تمرینهای این صفحه به دانشآموز کمک میکند تا مهارتهای جبری خود را تقویت کرده و توانایی نوشتن، سادهسازی و تحلیل عبارتهای جبری را افزایش دهد، مهارتی که در حل مسائل پیشرفتهتر ریاضی بسیار کاربردی است.
مطالب مرتبط:
آموزش نوشتن مقدمه هایی کوتاه و زیبا برای انشا
چگونه زاویه مثلث را پیدا کنیم؟
60 نقاشی حاشیه دفتر مشق جدید آسان پاییزی با مداد رنگی دخترانه و پسرانه
دیدگاه ها