در این بخش از کتاب ریاضی پایه هشتم، دانشآموزان با یادآوری مفاهیم پایهای توانها، مانند ضرب اعداد تواندار با پایههای مساوی یا توانهای مساوی، آشنا میشوند. این بخش پایهای برای درک مفاهیم توان در مقاطع بالاتر است و به دانشآموزان کمک میکند تا با سادهسازی و ترکیب عبارات تواندار به شکل درست، محاسبات پیچیده را راحتتر انجام دهند. در این مقاله از سلام دنیا به حل کامل و گامبهگام تمرین و فعالیت صفحه 102 ریاضی پایه هشتم همراه با توضیح مفهومی قواعد توانها پرداختهایم.
یادآوری
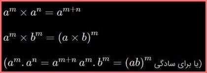
در سال گذشته، ضرب دوعدد تواندار با پایههای مساوی و نیز توانهای مساوی را یاد گرفتید. این قواعد را با نمادهای ریاضی به صورت زیر مینویسیم. اگر a عددی دلخواه و m و n دو عدد طبیعی باشند:

برای آمادگی بیشتر، تمرینهای زیر را انجام دهید.
- در ضرب اعداد توان دار با پایه های مساوی: یکی از پایه ها را نوشته و توان ها را با هم جمع می کنیم.
- در ضرب اعداد توان دار با توان های مساوی: یکی از توان ها را نوشته و پایه ها را در هم ضرب می کنیم.
حتما بخوانید: حل تمرین صفحه 103 و 104 ریاضی هشتم
///////////////////////////////////////////////////////
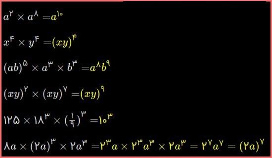
سوال 1 صفحه 102 ریاضی پایه هشتم با توضیح
1- حاصل هر یک از عبارت های زیر را به صورت یک عدد توان دار بنویسید.

///////////////////////////////////////////////////////
سوال 2 صفحه 102 ریاضی پایه هشتم با توضیح
2- حاصل هر یک را به صورت عبارتی تواندار بنویسید.

///////////////////////////////////////////////////////
سوال 3 صفحه 102 ریاضی پایه هشتم با توضیح
3- حجم مکعبی به ضلع 2a چند برابر حجم مکعبی به ضلع a است؟

///////////////////////////////////////////////////////
سوال 4 صفحه 102 ریاضی پایه هشتم با توضیح
حتما بخوانید: حل تمرین صفحه 104 و 105 ریاضی هشتم
4- جاهای خالی را با عددها و حرف های مناسب پر کنید.
///////////////////////////////////////////////////////
ویدئو آموزش و حل صفحه 102 ریاضی هشتم
ویدئو آموزش و حل صفحه 102 ریاضی هشتم
سخن آخر
صفحه 102 ریاضی هشتم یکی از مهمترین بخشهای مبحث توانها است که پایه بسیاری از مباحث آینده مانند جذر، توان منفی و فرمولهای علمی محسوب میشود. تسلط بر قواعد ضرب اعداد تواندار باعث میشود محاسبات جبری در مراحل بعدی بسیار سادهتر شود و درک بهتری از روابط بین پایه و توان بهدست آید.
مطالب مرتبط:
حل تمرین صفحه 108 و 109 ریاضی هشتم
جدول ارزش مکانی ریاضی کلاس اول
32 کاردستی با کاغذ رنگی آسان و زیبا دخترانه و پسرانه برای مدرسه
آموزش پیدا کردن زاویه بین 2 بردار با فرمول ضرب داخلی و خارجی
دیدگاه ها