صفحهٔ 117 ریاضی هشتم تمرینهایی برای تقویت مهارتهای تقریبی و کار با جذرها ارائه میدهد. در این صفحه نزدیکترین عدد طبیعی، مکان تقریبی روی محور و تبدیل رادیکالها بررسی میشود. همچنین مسائل ترکیبی مثل پر کردن مربع و محاسبهٔ جذر تا یک رقم اعشار تمرین خواهد شد. در این مقاله از سلام دنیا به حل تمرین صفحه 117 ریاضی هشتم پرداختهایم.
حل تمرین صفحه 117 ریاضی هشتم با جواب
سوال 1 صفحه 117 ریاضی پایه هشتم با توضیح
حتما بخوانید: حل سوالات صفحه 118 ریاضی هشتم
1. نزدیکترین عدد طبیعی به هر یک از عددهای زیر را پیدا کنید. درستی پاسخ خود را به کمک ماشین حساب بیازمایید.

///////////////////////////////////////////////////////////////
سوال 2 صفحه 117 ریاضی پایه هشتم با توضیح
2. یک محور اعداد رسم کنید و عددهای زیر را به صورت تقریبی روی آن مشخص کنید.
√14,√10,√24,−√3,−√8,−√17

///////////////////////////////////////////////////////////////
سوال 3 صفحه 117 ریاضی پایه هشتم با توضیح
3. مجموع عددهای واقع بر هر سطر، هر ستون و نیز هر قطر مربع زیر 6. است. جاهای خالی را با چه عددهایی میتوان پر کرد؟

///////////////////////////////////////////////////////////////
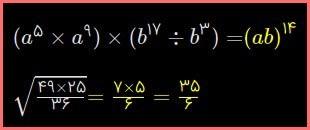
سوال 4 صفحه 117 ریاضی پایه هشتم با توضیح
4. حاصل هر یک از عبارتهای زیر را به دست آورید.

///////////////////////////////////////////////////////////////
سوال 5 صفحه 117 ریاضی پایه هشتم با توضیح
حتما بخوانید: حل سوالات صفحه 121 ریاضی هشتم
5. جذر 700 را تا یک رقم اعشار به دست آورید و نتیجه را به کمک ماشین حساب بررسی کنید.

///////////////////////////////////////////////////////////////
سوال 6 صفحه 117 ریاضی پایه هشتم با توضیح
6. دو عدد طبیعی بین 5√ و 17√ پیدا کنید.
√6<√7<√8<√9<√10<√11<√12<√13<√14<√15<√16
√9=3 √16=4 عدد طبیعی
///////////////////////////////////////////////////////////////
سوال 7 صفحه 117 ریاضی پایه هشتم با توضیح
7. پنج عدد بین 3√ و 8√ پیدا کنید.
√4 , √5 , √5/5 , √6 , √7
///////////////////////////////////////////////////////////////
سوال 8 صفحه 117 ریاضی پایه هشتم با توضیح
8. اعداد رادیکالی زیر را به صورت ضرب یک عدد طبیعی در یک رادیکال بنویسید.
√27=√9×√3=3√3
√50=√25×√2=5√2
√200=√100×√2=10√2
///////////////////////////////////////////////////////////////
ویدئو آموزش و حل صفحه 117 ریاضی هشتم
ویدئو آموزش و حل صفحه 117 ریاضی هشتم
سخن آخر
تمرین های صفحه 117 کمک میکند درک عملی شما از جذر، تقریب عددی و رسم محور تقویت شود. کار روی ماتریس ها و پر کردن جاهای خالی مهارت تحلیل عددی را افزایش میدهد. برای اطمینان، نتایج مهم را با ماشین حساب یا تقریب منطقی بررسی کنید.
مطالب مرتبط:
جدول ارزش مکانی ریاضی کلاس اول
32 کاردستی با کاغذ رنگی آسان و زیبا دخترانه و پسرانه برای مدرسه
آموزش پیدا کردن زاویه بین 2 بردار با فرمول ضرب داخلی و خارجی
دیدگاه ها