فصل هفتم ریاضی هشتم مجموعهای از مفاهیم مهم مانند توان، جذر، ریشه دوم و روشهای محاسبه ای مرتبط با آنها را آموزش میدهد. این درس به دانشآموز کمک میکند تا توانایی سادهسازی عبارات تواندار، محاسبه جذر و کار با عددهای رادیکالی را بهتر درک کند. همچنین در بخش تمرینها مهارتهایی مثل یافتن جذر تقریبی و ترتیبگذاری عددهای رادیکالی تقویت میشود. در پایان نیز کاربردهای مهم این مباحث در بیان عددهای بسیار بزرگ یا بسیار کوچک با نماد علمی مرور میشود. در این مقاله از سلام دنیا به بررسی مفاهیم، روشها و حل تمرین های صفحه 118 ریاضی هشتم پرداختهایم.
جواب مرور فصل 7 صفحه 118 ریاضی هشتم
1. مفاهیم و مهارتها
در این فصل اصطلاحات زیر به کار رفتهاند. مطمئن شوید که میتوانید با جملههای خود، آنها را توصیف کنید و برای هر کدام مثالی بزنید.
- توان
- جذر تقریبی
- ریشههای دوم یک عدد
- جذر حاصل ضرب و حاصل تقسیم
حتما بخوانید: حل سوالات صفحه 121 ریاضی هشتم
در این فصل، روشهای اصلی زیر مطرح شدهاند. هر کدام را با یک مثال توضیح دهید و در دفتر خود خلاصهٔ درس را بنویسید.
- محاسبهٔ حاصل یک عدد تواندار به توان عدد دیگر
- محاسبهٔ تقسیم دو عدد تواندار با پایههای مساوی
- محاسبهٔ تقریبی تقسیم دو عدد تواندار با نماهای مساوی
- محاسبهٔ جذر یک عدد
- محاسبهٔ یک عبارت تواندار
- ساده کردن یک عبارت تواندار
- پیدا کردن عددهای رادیکالی روی محور
- محاسبهٔ جذر حاصل ضرب و حاصل تقسیم
2. کاربرد
کاربرد این درس علاوه بر درسهای دیگر ریاضی مثل جبر در بیان عددهای بسیار بزرگ و یا بسیار کوچک است. نماد علمی نحوهای از بیان این عددها به صورت تواندار است.
////////////////////////////////////////////////////////
حل تمرین های ترکیبی صفحه 118 ریاضی هشتم با جواب
سوال 1 صفحه 118 ریاضی پایه هشتم با توضیح
1. حاصل عبارت مقابل را به دست آورید.

////////////////////////////////////////////////////////
سوال 2 صفحه 118 ریاضی پایه هشتم با توضیح
2. حاصل تقسیم مقابل را به دست آورید.

////////////////////////////////////////////////////////
سوال 3 صفحه 118 ریاضی پایه هشتم با توضیح
حتما بخوانید: حل سوالات صفحه 122 ریاضی هشتم
3. با تهیه جدول مناسب، جذر عدد 93 را تا دو رقم اعشار به دست آورید.

////////////////////////////////////////////////////////
سوال 4 صفحه 118 ریاضی پایه هشتم با توضیح
4. عددهای زیر را به ترتیب صعودی و از چپ به راست مرتب کنید.

////////////////////////////////////////////////////////
سوال 5 صفحه 118 ریاضی پایه هشتم با توضیح
5. به کمک رسم، مکان متناظر با عددهای زیر را روی محور اعداد مشخص کنید.

////////////////////////////////////////////////////////
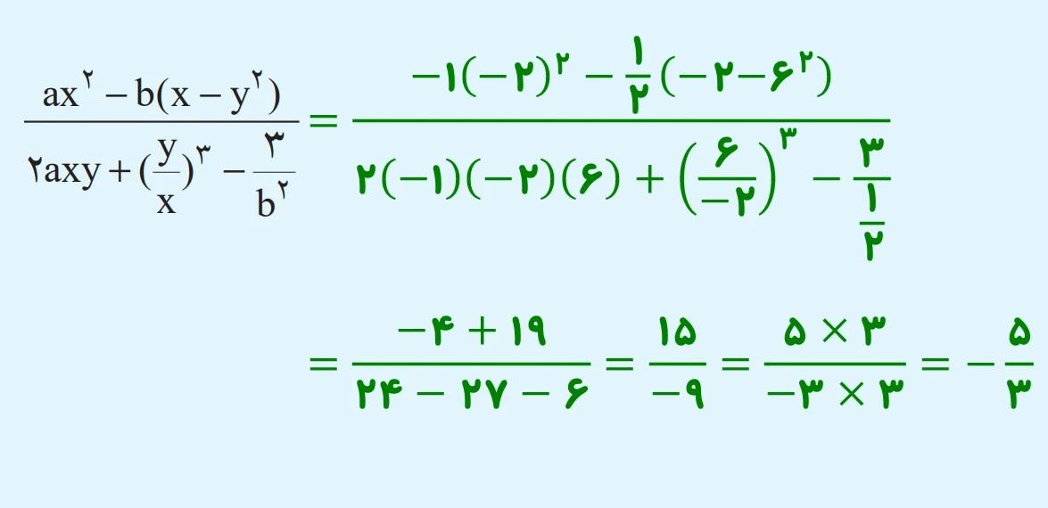
سوال 6 صفحه 118 ریاضی پایه هشتم با توضیح
6. مقدار عددی عبارت زیر را به ازای x=−2 و y=6 و a=−1 و b=1/2 به دست آورید.

////////////////////////////////////////////////////////
ویدئو آموزش و حل صفحه 118 ریاضی هشتم
ویدئو آموزش و حل صفحه 118 ریاضی هشتم
سخن آخر
یادگیری توان ها، جذرها و مهارتهای مرتبط با آنها، پایهای محکم برای ادامه مباحث ریاضی در پایههای بالاتر ایجاد میکند. تمرینهای صفحه 118 فرصتی مناسب برای تثبیت این مفاهیم و تسلط بیشتر بر محاسبات است. با تکرار و تمرین مستمر میتوان این مباحث را کاملاً درک و در مسائل پیشرفتهتر بهکار برد.
مطالب مرتبط:
ایده های نقاشی جذاب و خلاقانه برای مبتدیان و حرفه ای ها
17 مدل نقاشی با عدد 4 انگلیسی فانتزی و زیبا
دیدگاه ها