در این بخش از ریاضی هشتم با ویژگیهای عددهای زوج و فرد و همچنین سادهسازی عبارتهای جبری آشنا میشویم. هدف این تمرینها، درک رفتار عددها هنگام جمع و تفریق و بررسی رابطههای جبری با استفاده از خاصیت توزیعپذیری است. در این مقاله از سلام دنیا به حل گامبهگام تمرین های صفحه 63 ریاضی پایه هشتم با توضیح کامل و ساده پرداختهایم.
حل تمرین صفحه 63 ریاضی هشتم با جواب
سوال 1 صفحه 63 ریاضی پایه هشتم با توضیح
1. آیا b−a=−(a−b) است؟ بله. چرا؟
- −(a−b)=−a+b=b−a
////////////////////////////////////////////////////
حتما بخوانید: حل تمرین صفحه 64 ریاضی هشتم
/////////////////////////////////////////////////////////
سوال 2 صفحه 63 ریاضی پایه هشتم با توضیح
2. چرا مجموع دو عدد فرد، عددی زوج می شود؟

- 2b+1 عدد فرد
- 2a+1 عدد فرد
- 2b+1+2a+1=2b+2a+2=2(b+a+1)
- یک عدد طبیعی (b+a+1)
- در نتیجه: حاصل ضرب هر عدد طبیعی در عدد 2، یک عدد زوج است.
////////////////////////////////////////////////////
سوال 3 صفحه 63 ریاضی پایه هشتم با توضیح
3. مجموع دو عدد که یکی زوج و دیگری فرد باشد، زوج میشود یا فرد؟ چرا؟

- 2a عدد زوج
- 2b+1 عدد فرد
- 2b+1+2a=2b+2a+1=2(b+a)+1
- تجزیه 2b+2a
- یک عدد زوج 2 (b+a)
- در نتیجه: حاصل جمع هر عدد زوج با عدد 1، یک عدد فرد است.
////////////////////////////////////////////////////
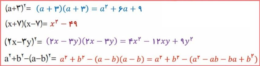
سوال 4 صفحه 63 ریاضی پایه هشتم با توضیح
4. عبارتهای جبری زیر را ساده کنید.

////////////////////////////////////////////////////
سوال 5 صفحه 63 ریاضی پایه هشتم با توضیح
5. با توجه به پیکانهای رسم شده، عبارت را ساده کنید.

////////////////////////////////////////////////////
حتما بخوانید: حل تمرین صفحه 65 ریاضی هشتم
/////////////////////////////////////////////////////////
سوال 6 صفحه 63 ریاضی پایه هشتم با توضیح
6. اگر دو پرانتز زیر را در هم ضرب کنیم، چند جمله خواهیم داشت؟ چرا؟
- 9 جمله. زیرا هر جمله پرانتز اول باید در 3 جملهی پرانتز دوم ضرب کنیم.

////////////////////////////////////////////////////
خواندنی
ابوعبدالله محمدبنموسی خوارزمی حدود سال 255 هجری قمری در شهر خوارزم (که امروز خیوه نامیده میشود) متولد شد. وی یکی از مفاخر علمی ایران و جهان و از بزرگترین دانشمندان مسلمان در قرنهای گذشته است. یکی از آثار خوارزمی کتاب جبر و مقابله است. این کتاب نخستین کتابی است که نام جبر را بر خود دارد. واژهٔ «جبر» بعدها بخشی از نام این کتاب گرفته شده است. از این نظر، خوارزمی را میتوان یکی از بنیانگذاران علم جبر دانست. به همین سبب به او «پدر علم ریاضی» نیز گفته میشود. خوارزمی علاوه بر جبر، در قرن نهم هجری کتابهای دیگری را به زبانهای لاتینی ترجمه کرد و نامش در میان دانشمندان اروپا گسترش یافت. واژهٔ الگوریتم که از نام «الخوارزمی» گرفته شده، بعدها الگوریتم (Algorithm) به معنای محاسبه و شیوهٔ حساب بهکار رفت. امروزه الگوریتم به روشی گفته میشود که در آن محاسبه بهمرحلهبهمرحله انجام میگیرد و محاسبهٔ هر مرحله به مراحل قبلی بستگی دارد.
////////////////////////////////////////////////////
ویدئو آموزش و حل صفحه 63 ریاضی هشتم
ویدئو آموزش و حل صفحه 63 ریاضی هشتم
سخن آخر
در این درس دیدیم که ویژگیهای عددهای زوج و فرد را میتوان با استفاده از نمادهای جبری بهروشنی توضیح داد. همچنین با قوانین سادهسازی عبارات جبری آشنا شدیم که پایهای برای یادگیری جبر و معادلات در مراحل بالاتر ریاضی است.
مطالب مرتبط:
2 انشا در مورد عشق به خدا و چگونه خدا را بشناسیم
53 مدل کشیدن نقاشی حلزون کودکانه و بزرگسال
36 کاردستی بامزه و خلاقانه با بطری شیشه ای خالی و دور ریختنی
دیدگاه ها